SJ Medical
PTA Balloon Dilatation Catheter (OTW)
The PTA Balloon Dilatation Catheter (OTW) is a professional, disposable intravascular interventional device used for percutaneous transluminal angioplasty. It is designed to dilate stenotic blood vessels, improve vascular patency, and restore normal blood flow in patients with peripheral or coronary vascular diseases. Adopting an Over-the-Wire (OTW) structure, this catheter offers excellent pushability, trackability, and stability during procedures.
It is especially suitable for complex lesion crossing and precise positioning under imaging guidance. The catheter is made of high-performance medical materials: the balloon features high pressure resistance and reliable compliance; the shaft combines flexibility and kink resistance; the stainless steel hypotube ensures stable torque control; and platinum-iridium markers provide clear visualization under fluoroscopy. The distal shaft is coated with a hydrophilic coating to reduce friction and facilitate smooth advancement through narrow or tortuous vessels.
Key Performance Indicators: Traceability | Crossingability | Deliverabillity
Certification: Marketed with NMPA Certificate
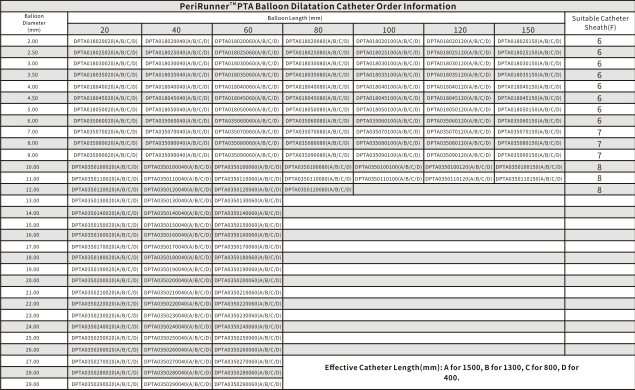
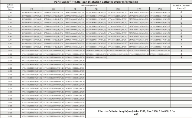
Purposeful Design: PeriRunnerTM is an OTW type PTA Balloon Catheter with a smooth balloon at the distal end of the catheter. The balloon diameter ranges from 2.0mm to 29.0mm, and the balloon length ranges from 20mm to 150mm.







